在物質相對豐(feng) 富、生產(chan) 力比從(cong) 前更為(wei) 發達的當代社會(hui) ,越來越多的父母開始重視孩子大腦的營養(yang) 健康。不過,孩子的成長隻有一次,尤其是關(guan) 係到大腦的健康發育更是馬虎不得。奈何市麵上麵向兒(er) 童的“腦黃金”“DHA”琳琅滿目,更兼廣告宣發滿天飛,都說自己是優(you) 質產(chan) 品,這使得許多父母不知如何選擇。下麵,我們(men) 就直切正題,立足於(yu) 科學和數據,談一談DHA的挑選要點。
1.產(chan) 品供應鏈完備、生產(chan) 鏈衛生,無二次汙染:生產(chan) 鏈是否完備,關(guan) 係到產(chan) 品是否能持續供應,產(chan) 品原材料質量幾何;生產(chan) 鏈衛生與(yu) 否,則影響到產(chan) 品的功效強弱、是否會(hui) 有損孩子身體(ti) 健康。所以,這一點應當重視。
2.產(chan) 品口感如何:產(chan) 品的口感好壞,決(jue) 定著孩子是否願意吃。假如口感差勁,孩子對產(chan) 品產(chan) 生抵觸心理,即便勉強吃下,效果也不如孩子主動服用。
3.產(chan) 品的吸收率如何:滿足前兩(liang) 點的DHA所在多有,但吸收率較高的DHA卻不多。如果孩子將DHA產(chan) 品吃下之後的吸收率不高,那前兩(liang) 點再好也是無用,所以產(chan) 品的吸收率如何也是父母在挑選DHA產(chan) 品時應該注意的一點。
4.產(chan) 品設計是否得當:市麵上部分DHA產(chan) 品的設計不甚合理,不是需要使用剪刀剪開,就是要用手指擠壓,這樣既不方便也不衛生,影響食用體(ti) 驗。所以,在選購時可以注意一下產(chan) 品設計這個(ge) “加分項”。
那麽(me) ,如何確定以上4點是否合乎標準?我們(men) 下麵進一步討論。
1. 產(chan) 品供應鏈完備、生產(chan) 鏈衛生,無二次汙染:產(chan) 品品質可追溯,能夠通過權威機構的檢驗。注意,每個(ge) 國家對品質的要求各不相同,所以建議選擇已通過所在國家機構檢驗的產(chan) 品,這樣也方便溯源。魚油DHA可能存在二次汙染,因為(wei) 深海魚不僅(jin) 食用藻類,也會(hui) 食用其他東(dong) 西,在此期間容易形成二次汙染,而藻油DHA則更為(wei) 天然。
2. 產(chan) 品口感如何:DHA這類產(chan) 品,分為(wei) 魚油DHA和藻油DHA,前者帶有一定魚腥味,加之捕撈、運輸、提取、製成過程更為(wei) 漫長,所以孩子在食用時可能會(hui) 對魚腥味產(chan) 生抵觸心理,而後者的異味更小。
3. 產(chan) 品吸收率如何:魚油DHA多為(wei) 乙油酯型或甘油三酯型,生物利用率較低;藻油DHA則為(wei) 天然甘油三酯型,生物利用率較高。同時,優(you) 質DHA品牌會(hui) 公示產(chan) 品吸收率這類實驗數據,讓父母更放心。
4. 產(chan) 品設計是否得當:部分DHA產(chan) 品需要使用剪刀剪開或手指擠壓,一來食用麻煩,二來在此期間容易致使細菌汙染,三來也不適合孩子自行食用。所以,可以選擇可直接食用並消化吸收的DHA產(chan) 品。
惠優(you) 喜智黃金DHA
強大產(chan) 品供應鏈和生產(chan) 鏈,讓家長買(mai) 得放心:為(wei) 向往美好生活的人們(men) 提供科學可靠的大腦營養(yang) ,為(wei) 讓更多孩子自幼享有大腦智力營養(yang) ,惠優(you) 喜所屬公司公海贵宾会员检测中心健康與(yu) 世界DHA之父邁克爾·克勞福德教授一同推出“惠優(you) 喜智黃金DHA”。惠優(you) 喜智黃金DHA,具備廣東(dong) 省食品行業(ye) 優(you) 秀新產(chan) 品獲獎證書(shu) 、海藻多糖提取工藝獲獎證書(shu) ;放射性核素檢測報告、營養(yang) 標簽技術鑒定等報告,確保品質可追溯。同時,惠優(you) 喜還在廣州黃埔區建有符合ISO22000標準,GMP認證和擁有SC生產(chan) 許可、潔淨程度達至萬(wan) 級、10萬(wan) 級、30萬(wan) 級的保健品工廠,生產(chan) 製造更透明,讓家長買(mai) 得更放心。
產(chan) 品口感好,讓孩子吃得開心:為(wei) 提升惠優(you) 喜智黃金DHA口感,惠優(you) 喜采用優(you) 化去腥工藝,讓智黃金DHA帶有淡淡檸檬香,口感如糖果一般美味。
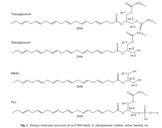
產(chan) 品吸收率高,盡顯品牌誠心:惠優(you) 喜智黃金采用專(zhuan) 利型Sn-2位DHA。研究顯示,Sn-2型DHA比其他DHA更親(qin) 和人體(ti) 、吸收率更高。如下圖所示,在各個(ge) 時期的母乳中,DHA和ARA的存在形式含量最多的均為(wei) 結合在Sn-2位的甘油三酯。在人乳脂肪(HMF)的總脂肪酸中,DHA隻占很小的比例(0.36%–0.70%),但是超過一半(52.63%–65.15%)被結合在Sn-2位置。此外,Sn-2位的DHA,容易被組織攝取和吸收,能影響代謝和分布,並與(yu) 腸道的微生態平衡密切相關(guan) 。
產(chan) 品設計簡便,食用時更省心:惠優(you) 喜智黃金DHA在設計時充分考慮到孩子食用時必備的衛生和便捷,便以即溶薄皮小晶球作為(wei) 外殼,能夠直接吞服,入口即溶、入水即溶、入奶即溶,讓孩子在沒有父母的幫助下也能自行食用。
當然,大腦營養(yang) 健康的行業(ye) 之大,自然還有許多像惠優(you) 喜智黃金DHA一樣,滿足上述4點的好產(chan) 品等待著新生代父母群體(ti) 去發現,惠優(you) 喜智黃金DHA願與(yu) 大家一道嗬護更多孩子的健康、為(wei) 更多孩子的營養(yang) 補充提供幫助,讓更多孩子能夠擁有一個(ge) 充滿智慧的健康童年。